×
模态框(Modal)标题
在这里添加一些文本
关闭
关闭
提交更改
取消
确定并提交
×
模态框(Modal)标题
在这里添加一些文本
关闭
×
RSS
Email Alert
本刊微信公众号
Toggle navigation
中华肾脏病杂志
首页
期刊介绍
编委会
期刊浏览
最新录用
优先发表
当期目录
过刊浏览
下载排行
阅读排行
引用排行
专题文章
期刊订阅
作者中心
我要投稿
稿约
稿件写作注意事项
论文模板
投稿指引
出版政策
相关伦理
政策说明
广告合作
联系我们
English
图/表 详细信息
硫化氢通过调控NLRP3炎症复合体对抗对比剂诱导的急性肾损伤
金阳光, 黄泽娜, 叶文浩, 余华晓, 罗宇航, 林燕, 梁敏灵
中华肾脏病杂志, 2022, 38(
4
): 344-351. DOI:
10.3760/cma.j.cn441217-20220113-00049
图4
硫氢化钠(NaHS)减轻对比剂诱导的急性肾损伤(CIAKI)大鼠肾组织的病理损伤
注:A:肾组织病理染色(HE ×400;PAS ×400);B:肾小管损伤的半定量分析;C:肾脏质量/体重比值;与对照组比较,
a
P
<0.01;与CIAKI组比较,
b
P
<0.01
本文的其它图/表
图1
对比剂诱导的急性肾损伤(CIAKI)大鼠内源性硫化氢合成酶相关基因表达水平
注:A:差异表达mRNA的火山图:绿色的点代表表达显著下调的基因,红色的点代表表达显著上调的基因,黑色的点代表表达差异不显著的基因;B:差异表达mRNA的功能聚类分析柱状图:黄色的深浅表示
P
值的大小,颜色越深,
P
值越小;C:运用String在线软件建立的以CBS、CSE和3-MST为核心的蛋白互作网络;D:肾脏内源性H
2
S合成酶相关基因
CBS
、
CSE
和
3-MST
的表达水平;与对照组比较,
a
P
<0.05
图2
内源性硫化氢合成酶相关基因
CBS
、
CSE
和
3-MST
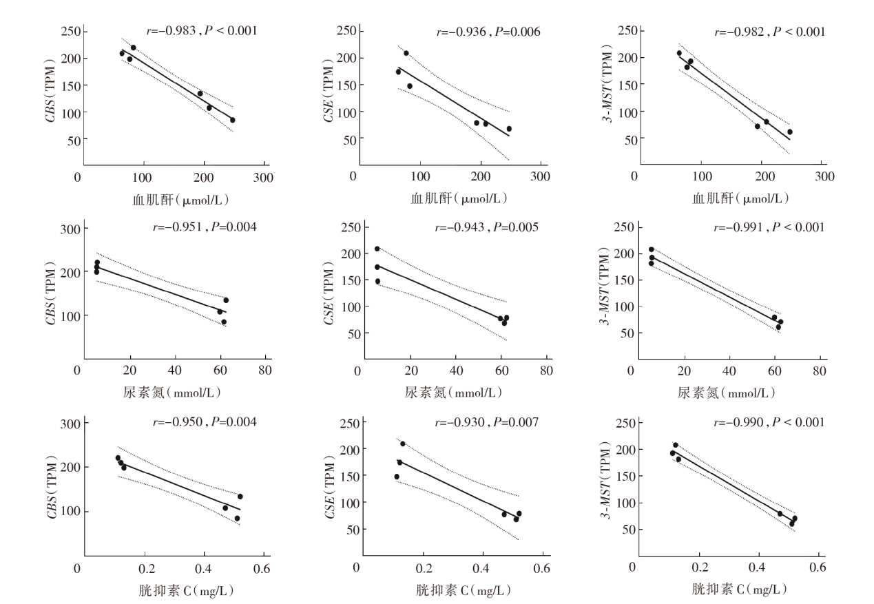
表达与血肌酐、尿素氮和胱抑素C的相关性(Pearson相关分析,
n
=6)
注:TPM:transcripts per million,指单一miRNA reads数×10
6
/总reads数,用来校准miRNA的表达量
图3
硫氢化钠(NaHS)改善对比剂诱导的急性肾损伤(CIAKI)大鼠的肾功能损伤
注:与对照组比较,
a
P
<0.01;与CIAKI组比较,
b
P
<0.05;
n
=8
图5
硫氢化钠(NaHS)减少对比剂诱导的急性肾损伤(CIAKI)大鼠肾小管上皮细胞焦亡(免疫荧光 ×200)
注:运用DAPI进行细胞核共染后,TUNEL荧光染色阳性表现为红色荧光的细胞核
图6
硫氢化钠(NaHS)下调对比剂诱导的急性肾损伤(CIAKI)大鼠肾组织NLRP3炎症复合体的表达(免疫荧光 ×200)
图7
硫化氢对抗对比剂诱导的肾小管上皮细胞(HK-2)损伤
注:A:在对比剂(碘普罗胺200 mgI/ml)诱导的HK-2细胞损伤之前使用600 μmol/L的硫氢化钠(NaHS)预处理30 min;B:在0.1~0.3 mmol/L的浓度范围里硫化氢合成酶基因
CBS
抑制剂AOAA 不影响细胞的存活率,但浓度大于0.5 mmol/L 的AOAA 可对HK-2 细胞产生损伤;C:浓度为0.3~1.0 mmol/L 的AOAA 可加重对比剂诱导的HK-2 细胞损伤;与对照组比较,
a
P
<0.01;与对比剂组比较,
b
P
<0.01